Kriopreservasi Spermatozoa Kambing Boer: Perbandingan Dua Bahan Pengencer terhadap Kualitas Post-Thawing dan Kemampuan Fertilisasinya
Pamungkas FA, Batubara A, Anwar
Loka Penelitian Kambing Potong Sei Putih
PO Box. I Galang Deli Serdang Sumatera Utara
E-mail: fitrap@yahoo.com
(Diterima 24 April 2014 ; disetujui 12 Juni 2014)
ABSTRACT
Pamungkas FA, Batubara A, Anwar. 2014. Cryopreservation of Boer goat spermatozoa: Comparison of two freezing extenders based on post-thaw sperm quality and fertility rates. JITV 19(2): 130-137. DOI: http://dx.doi.org/10.14334/jitv.v19i2.1041
Boer goat have recently been popularly used for cross breeding with local goats. However, it is currently considered a breed at very limited number with relatively high prices . In this context, the cryopreservation of spermatozoa is important because it could be conserved for a very long period of time. Egg yolk extenders are most commonly used for cryopreservation of goat sperm. The aim of this study was to compare the ability of two extenders to maintain sperm viability after cryopreservation. Semen from three male Boer goat aged about 2-3 years old was collected using artificial vagina and frozen with Tris and Triladyl extender. The results showed that percentage of motility, viability and membrane integrity of spermatozoa with Tris and Triladyl extenders at every stage of cryopreservation showed not significantly difference (P>0.05), except the percentage of sperm motility post thawing of Triladyl was higher than Tris extender (52.00±4.47% vs 47.50±2.74%, P<0.05). Cryopreserved semen in Tris extender provided the same fertility rates after cervical insemination compared to Triladyl (62.50% vs 60.00%). In conclusion, the Tris extender has the same capabilities to Triladyl in cryopreservation of Boer goat spermatozoa as to maintain sperm quality and fertility rates.
Key Words: Boer Goat, Spermatozoa, Cryopreservation, Fertility
ABSTRAK
Pamungkas FA, Batubara A, Anwar. 2014. Kriopreservasi spermatozoa kambing Boer: Perbandingan dua bahan pengencer terhadap kualitas post-thawing dan kemampuan fertilisasinya. JITV 19(2): 130-137. DOI: http://dx.doi.org/10.14334/ jitv.v19i2.1041
Kambing Boer sampai saat ini masih populer untuk disilangkan dengan kambing lokal. Namun, ketersediaan kambing Boer masih sedikit dengan harga yang relatif mahal sehingga kriopreservasi spermatozoa menjadi sangat penting dikarenakan pemanfaatan jangka panjang tanpa dibatasi waktu. Pengencer berbahan dasar kuning telur sering digunakan untuk kriopreservasi spermatozoa kambing. Tujuan penelitian ini adalah untuk membandingkan kemampuan dua bahan pengencer dalam mempertahankan kualitas dan fertilitas spermatozoa kambing Boer setelah di kriopreservasi. Penelitian menggunakan tiga ekor pejantan kambing Boer berumur 2-3 tahun. Semen ditampung menggunakan vagina buatan dan dibekukan dengan pengencer berbahan dasar kuning telur yaitu Tris dan Triladyl. Hasil penelitian menunjukkan bahwa persentase motilitas, viabilitas dan integritas membran spermatozoa dengan pengencer Triladyl dan Tris pada setiap tahapan kriopreservasi hampir tidak menunjukkan perbedaan yang nyata (P>0,05), kecuali pada persentase motilitas spermatozoa setelah thawing dimana pengencer Triladyl lebih tinggi dibandingkan Tris (52,00±4,47% vs 47,50±2,74%, P<0,05). Penggunaan pengencer Tris menghasilkan tingkat fertilisasi yang sama dengan Triladyl (62,50% vs 60,00%, P>0,05). Dari hasil penelitian disimpulkan bahwa pengencer Tris memiliki kemampuan yang sama dengan Triladyl dalam kriopreservasi spermatozoa kambing Boer karena dapat mempertahankan kualitas spermatozoa dan kemampuan fertilisasinya.
Kata Kunci: Kambing Boer, Spermatozoa, Kriopreservasi, Fertilisasi
PENDAHULUAN
Kambing Boer merupakan kambing unggul yang digunakan dalam program persilangan untuk meningkatkan produktivitas kambing lokal. Kambing Boer merupakan kambing tipe pedaging dengan konfirmasi tubuh yang baik, mudah beradaptasi terhadap perubahan suhu lingkungan dan lebih resistan terhadap penyakit (Malan 2000). Namun demikian, upaya persilangan ini tidak sesederhana yang dibayangkan terkait berbagai kendala, seperti ketersediaan kambing Boer yang masih sedikit dengan harga yang relatif mahal sehingga upaya pengembangannya masih terbatas dan hasilnya belum memuaskan. Disamping itu, materi genetik ternak yang mempunyai nilai ekonomis seperti kambing Boer bisa hilang kapan saja oleh kematian ternak secara tak terduga, libido yang rendah maupun gangguan saluran reproduksi (Drouineaud et al. 2003; Kaabi et al. 2003).
Untuk mempercepat upaya persilangan tersebut dilakukan misalnya dengan aplikasi teknologi inseminasi buatan. Teknologi ini sangat berperan dalam sistem breeding kambing, khususnya pada sistem pemeliharaan intensif untuk meningkatkan produksi daging, susu dan jumlah anak sekelahiran disamping mengoptimalkan program seleksi dan sarana untuk mengontrol waktu kelahiran (Leboeuf et al. 2000). Keuntungan lainnya dari IB pada kambing yaitu untuk meningkatkan populasi, peternak tidak perlu mengeluarkan biaya untuk pemeliharaan pejantan, mendapatkan sumber spermatozoa yang berasal dari pejantan unggul dan menghindari penularan penyakit terutama penyakit kelamin. Dalam konteks ini, kriopreservasi spermatozoa menjadi sangat penting dikarenakan pemanfaatannya dalam jangka panjang tanpa dibatasi waktu dan jarak (Martins et al. 2007).
Walaupun kriopreservasi spermatozoa telah banyak dilakukan pada berbagai ternak, tetapi proses kriopreservasi dilaporkan dapat menyebabkan kerusakan pada struktur spermatozoa, kerusakan biokimia dan fungsional termasuk penurunan motilitas spermatozoa, integritas membran maupun kemampuan fertilisasi (Salomon & Maxwell 2000). Dalam proses pembekuan (kriopreservasi) semen, akibat perlakuan suhu yang sangat rendah (-196°C) akan terbentuk kristal-kristal es dan perubahan konsentrasi elektrolit intraseluler yang menyebabkan terjadinya kerusakan pada sel spermatozoa (Surachman et al. 2006). Untuk mempertahankan kemampuan fertilisasi dari spermatozoa yang dikriopreservasi, perlu dilakukan modifikasi serta penambahan berbagai komponen pada bahan pengencer (Marti et al. 2003; Riha et al. 2006; Sarlos et al. 2002). Komposisi bahan pengencer baik krioprotektan, gula, buffer dan bahan aditif lainnya akan berinteraksi selama proses kriopreservasi dengan cara yang spesifik untuk melindungi spermatozoa, menyediakan substrat energi serta mencegah efek negatif dari perubahan pH dan osmolalitas (Salomon & Maxwell 2000; Yoshida et al. 2000), sehingga pemilihan jenis pengencer yang tepat merupakan salah satu cara mengurangi kerusakan akibat proses pembekuan (Surachman et al. 2006).
Jenis pengencer berbahan dasar Tris banyak digunakan karena telah diketahui kemampuannya dalam memelihara daya hidup spermatozoa kucing (Yulnawati & Setiadi 2005), anjing (Hori et al. 2005), domba (Rizal et al. 2004), sapi (Van Wagtendonk-de Leeuw et al. 2000), dan kelinci (Roca et al. 2000). Kedalam bahan pengencer tersebut biasanya ditambahkan kuning telur untuk melindungi spermatozoa dari kejutan dingin (cold shock) selama penyimpanan (Tsutsui et al. 2003). Penggunaan kuning telur umumnya digunakan sebagai agen yang efektif untuk melindungi membran plasma dan akrosom spermatozoa dari efek kejutan dingin karena kandungan fosfolipid, low density lipoproteins dan kandungan kolesterolnya (Aboagla & Terada 2004; Amirat et al. 2004). Selain pengencer berbahan dasar Tris yang dapat dibuat berdasarkan komposisi tertentu, terdapat berbagai pengencer kemasan yang telah beredar dan dapat diperoleh di pasaran diantaranya Triladyl (Minitube, Tiefenbach, Germany). Pengencer semen komersial seperti Triladyl memudahkan dalam penggunaannya karena telah tersedia dalam paket siap pakai dan mengandung seluruh bahan-bahan yang diperlukan untuk kriopreservasi semen.
Oleh karena itu penelitian dilakukan untuk membandingkan dua komposisi bahan pengencer berbahan dasar Tris sebagai medium untuk pengenceran terhadap kualitas spermatozoa kambing Boer setelah di kriopreservasi dan kemampuan fertilisasi spermatozoa setelah inseminasi buatan.
MATERI DAN METODE
Penelitian ini dilakukan di Laboratorium Reproduksi Loka Penelitian Kambing Potong Sei Putih, Sumatera Utara. Materi ternak yang digunakan dalam penelitian ini adalah kambing pejantan Boer berjumlah 3 ekor yang berumur antara 2-3 tahun dengan bobot badan berkisar antara 45-50 Kg. Kambing ditempatkan dalam kandang individu yang dilengkapi dengan tempat pakan dan minum. Pemberian sumber bahan makanan dalam bentuk konsentrat dan hijauan pakan ternak. Pemberian konsentrat berkisar antara 300-500 gram per ekor per hari dilakukan pada waktu pagi hari, sedangkan hijauan pakan berupa rumput dengan jumlah pemberian berkisar antara 3-4 kg segar per ekor per hari diberikan pada waktu siang dan sore hari. Pemberian air minum secara ad libitum.
Koleksi dan kriopreservasi semen
Setiap ekor kambing pejantan Boer ditampung semennya 1 kali seminggu (1 ejakulat per setiap periode penampungan) selama lima minggu berturut-turut. Penampungan semen dilakukan dengan menggunakan vagina buatan. Semen segar yang diperoleh kemudian segera dievaluasi untuk diproses lebih lanjut. Kriopreservasi dilakukan dengan menggunakan dua bahan pengencer yang berbeda. Pengencer 1 menggunakan bahan pengencer komersil yaitu Triladyl (Minitube, Tiefenbach, Germany) dengan komposisi bahan pengencer 2,5 ml Triladyl dan 2 ml kuning telur dalam 7,5 ml aquabidest. Pengencer 2 yaitu Tris kuning telur dengan komposisi 0,296 g Tris aminomethane, 0,165 g asam sitrat, 0,216 g laktosa, 0,6 ml gliserol, 1.000 IU/ml penisilin, 1.000 µg/ml streptomisin, 2 ml kuning telur dan aquabidest ad 10 ml (Kostaman et al. 2000). Konsentrasi akhir semen setelah penambahan media pengencer sebesar 200 x 106 spermatozoa/ml, lalu di ekuilibrasi pada suhu 5°C selama 2 jam. Selanjutnya semen segera dimasukkan ke dalam straw berukuran 0,25 ml (IMV, France), kemudian diletakkan pada sebuah styrofoam plate dalam uap nitrogen cair selama 20 menit (kurang lebih 4 cm dari permukaan nitrogen cair) dan kemudian segera dimasukkan dalam kontainer nitrogen cair untuk penyimpanan.
Pencairan kembali (thawing) dilakukan dengan cara meletakkan straw semen beku di udara pada suhu kamar selama 30 detik kemudian mencelupkannya ke dalam water bath pada temperatur 37°C selama 30 detik, untuk selanjutnya dievaluasi karakteristik spermatozoa setelah pencairan kembali (post-thawing).
Parameter evaluasi karakteristik semen
Parameter yang diukur adalah 1) karakteristik semen segar secara makroskopis (volume, warna, konsistensi, dan pH) dan mikroskopis (motilitas, integritas membran, viabilitas dan abnormalitas), 2) kualitas semen pra-pembekuan dan pasca-pembekuan yaitu motilitas, integritas membran dan viabilitas.
Penilaian persentase motilitas spermatozoa ditentukan dengan cara menempatkan satu tetes spermatozoa yang telah diencerkan dengan larutan 0,9% NaCl pada gelas objek dan ditutup dengan gelas penutup. Pengamatan terhadap spermatozoa yang bergerak progresif dilakukan secara subjektif pada enam lapang pandang yang berbeda di bawah mikroskop dengan pembesaran 400x (Rasul et al. 2001). Penilaian yang diberikan mulai nol persen (tidak ada spermatozoa yang bergerak ke depan) sampai 100 persen (semua spermatozoa bergerak ke depan).
Penilaian persentase integritas membran spermatozoa diperiksa menggunakan Hypoosmotic Swelling Test (HOS-Test) dengan komposisi larutan HOS untuk 10 ml air mili-Q ditambah dengan 0,135 g fruktosa (Merck, Germany) dan 0,0735 g trisodium citrate 2H2O. Sampel semen sebanyak 20 µl diencerkan dengan 80 µl larutan HOS dan dibiarkan selama 10 menit pada suhu kamar. Untuk keperluan pengamatan, diteteskan 10 μl sampel semen pada gelas objek yang ditutup dengan gelas penutup dan evaluasi dilakukan di bawah mikroskop dengan pembesaran 400x. Perhitungan dilakukan pada lima lapang pandang secara acak terhadap spermatozoa yang mempunyai ekor melingkar (membran plasma utuh) maupun yang mempunyai ekor lurus (membran plasma tidak utuh) sesuai petunjuk Fonseca et al. (2005). Jumlah total spermatozoa yang dihitung adalah 200 spermatozoa.
Penentuan persentase viabilitas dari spermatozoa dilakukan dengan menggunakan metode pewarnaan eosin-negrosin dengan komposisi pewarna eosin-negrosin untuk 300 ml air mili-Q terdiri dari 3,3 g eosin yellow (Wako Pure chemical Industries, 058-00062), 20 g nigrosin (Sigma-Aldrich, 198285) dan 1,5 g sodium sitrat, menurut prosedur Barth & Oko (1989). Sebanyak 10 μl sampel semen dan 40 μl eosin-negrosin dicampur di atas gelas obyek kemudian dibuat preparat ulas dan dikeringkan menggunakan bunsen selama 15 detik sebelum dilakukan pengamatan di bawah mikroskop dengan pembesaran 400x. Spermatozoa yang dikategorikan hidup adalah spermatozoa yang tidak menyerap zat warna sehingga pada bagian kepala spermatozoa tidak terwarnai (putih), sedangkan spermatozoa yang dikategorikan mati adalah spermatozoa yang menyerap zat warna sehingga pada bagian kepalanya akan berwarna merah. Persentase viabilitas spermatozoa ditentukan berdasarkan perbandingan antara jumlah spermatozoa hidup dengan jumlah total spermatozoa. Jumlah total spermatozoa yang dihitung adalah 200 spermatozoa. Sedangkan pengamatan abnormalitas menurut McPeake & Pennington (2009) yaitu terhadap abnormalitas spermatozoa sekunder (kepala normal yang terputus dan ekor yang membengkok) yang terjadi selama proses penyimpanan atau kriopreservasi spermatozoa. Pengamatan di bawah mikroskop dengan pembesaran 400x dilakukan pada 200 spermatozoa.
Inseminasi Buatan (IB)
Ternak yang akan dipakai adalah kambing Kacang betina yang ada di Loka Penelitian Kambing Potong Sei Putih, Sumatera Utara. Sebanyak 20 ekor kambing Kacang betina yang berumur 1-2 tahun dengan bobot badan berkisar antara 14-15 Kg dibagi kedalam dua kelompok (Kelompok A = Kambing betina yang akan di IB menggunakan semen beku hasil kriopreservasi dengan pengencer TRIS; kelompok B = Kambing betina yang akan di IB menggunakan semen beku hasil kriopreservasi dengan pengencer Triladyl) dan dipersiapkan pada kandang tertentu, lalu diadaptasikan dengan lingkungan yang seragam selama 1 bulan serta dilakukan pengecekan kesehatan dan status reproduksinya dengan palpasi abdominal, pemijatan puting, palpasi rektal dan pengecekan dengan pejantan vasektomi untuk memastikan bahwa kambing yang digunakan tidak dalam keadaan bunting.
Teknik penyerentakan berahi dilakukan menggunakan pemasangan EAZI-BREED™ CIDR® yang mengandung 0,3 g progesteron selama 16 hari secara intravaginal, lalu penyuntikan Pregnecol TM serum Gonadotrophin 400 IU secara intramuskuler 48 jam sebelum pencabutan EAZI-BREED™ CIDR®. Inseminasi buatan dengan teknik cervical dilakukan setelah muncul tanda berahi dan diulang 10-12 jam setelah IB ke-1 menggunakan semen beku hasil kriopreservasi dengan pengencer TRIS dan Triladyl.
Evaluasi keberhasilan IB dilakukan dengan memasukkan pejantan vasektomi pada kelompok kambing betina setiap pagi dan sore hari selama dua siklus berahi (40 hari). Kambing betina yang bunting ditunjukkan dengan tidak menunjukkan tanda-tanda berahi kembali. Setelah kelahiran, persentase induk melahirkan dan jumlah anak sekelahiran juga dicatat dan dianalisis.
Analisis data
Data karakteristik spermatozoa pada kedua kelompok dianalisis dengan analisis sidik ragam (ANOVA). Apabila terdapat perbedaan diantara kelompok dilanjutkan dengan Duncan’s Multiple Range Test (DMRT) menurut Steel et al. (1997). Sedangkan data kemampuan fertilisasi dari kambing yang diinseminasi dianalisis menggunakan uji Chi-square. Data diolah menggunakan program SPSS versi 19.
HASIL DAN PEMBAHASAN
Karakteristik spermatozoa kambing Boer
Data karakteristik spermatozoa segar kambing Boer yang diperoleh menggunakan vagina buatan (Tabel 1) menunjukkan bahwa spermatozoa tersebut memiliki kualitas yang baik dan memenuhi syarat untuk proses kriopreservasi. Kriteria spermatozoa segar yang dapat digunakan untuk proses kriopreservasi dan sebagai dasar penentuan fertilitas pejantan dengan kategori sangat baik harus memiliki persentase motilitas spermatozoa > 50% (Pezzanite et al. 2012), persentase integritas membran spermatozoa ≥ 60% (Revell & Mrode 1994), konsentrasi 2 x 109 spermatozoa/ml, persentase hidup minimal 80% dan persentase abnormal tidak lebih dari 15% (Tambing et al. 2000).
Tabel 1. Karakteristik spermatozoa segar kambing Boer (n= 3 ekor)
Keterangan |
Jumlah |
Volume/ejakulasi (ml) |
0,8±0,3 |
Warna |
krem susu |
Konsistensi |
sedang-kental |
Ph |
6,4 |
Konsentrasi (......x 106/ml) |
4.125±683 |
Motilitas (%) |
79,55±1,51 |
Viabilitas (%) |
85,29±4,34 |
Abnormalitas (%) |
2,53±0,77 |
Integritas membran (%) |
77,52±7,35 |
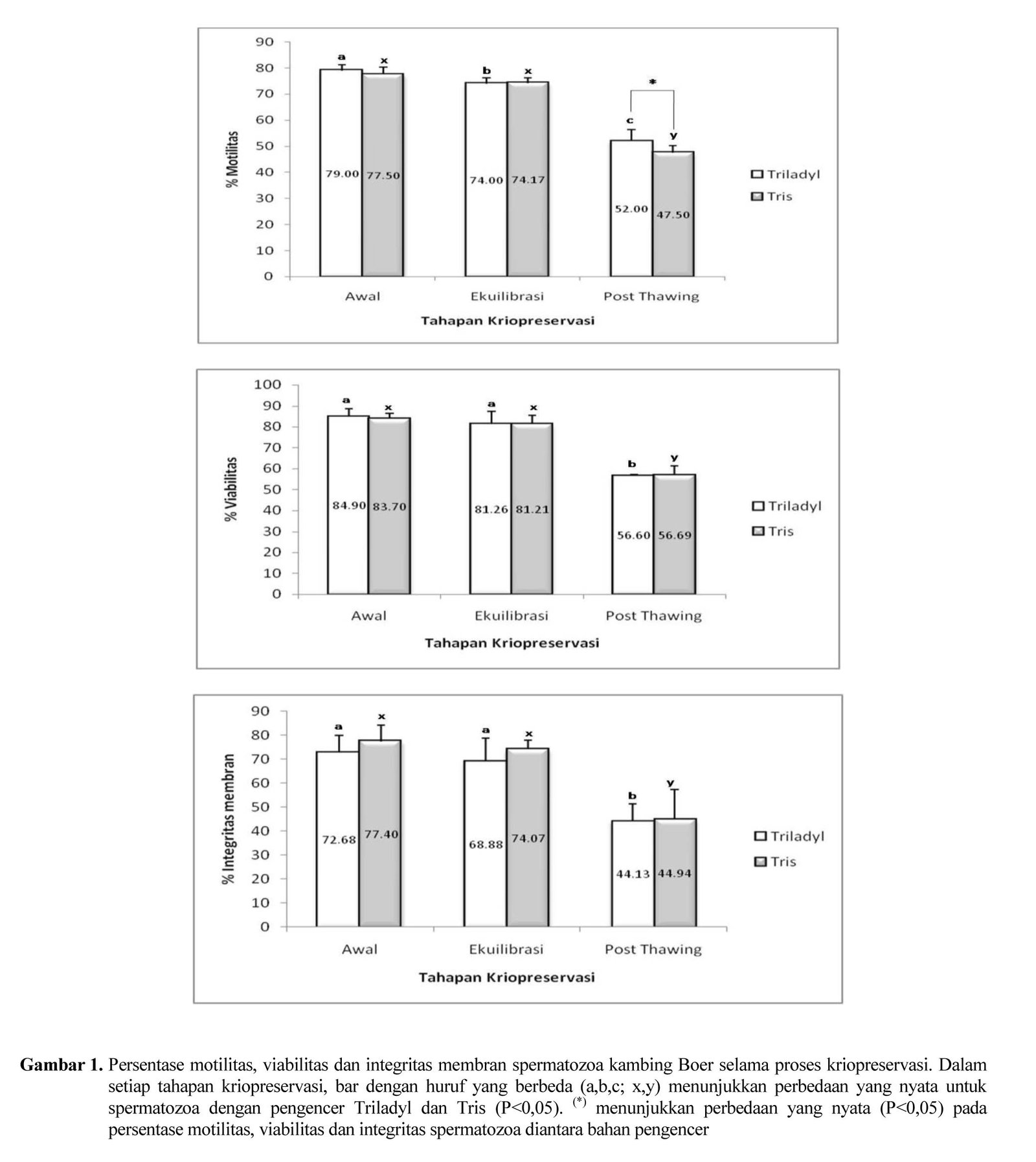
Persentase motilitas progresif, viabilitas dan integritas membran spermatozoa pada kedua bahan pengencer selama proses kriopreservasi yaitu dari tahapan awal, ekuilibrasi dan post-thawingmengalami penurunan (Gambar 2). Hasil ini menunjukkan bahwa spermatozoa tidak rentan akibat penurunan suhu selama proses kriopreservasi. Spermatozoa mengalami perubahan seluler, biokimia dan osmotik selama pematangan di epididimis dan setelah penambahan plasma semen saat ejakulasi. Perubahan ini termasuk penurunan komposisi membran lipid yang kemudian dapat mempengaruhi karakteristik biologi spermatozoa saat kriopreservasi, permeabilitas krioprotektan dan perubahan fase membran plasma selama pendinginan. Proses cooling pada kriopreservasi spermatozoa dapat menekan aktivitas metabolisme sel spermatozoa sehingga menyebabkan konsumsi energi secara signifikan berkurang dan sensitivitas kejutan dingin ditandai oleh hilangnya permeabilitas dan integritas membran plasma spermatozoa secara ireversibel yang mengarah kepada gangguan dan kematian spermatozoa (Yeung et al. 2006).
Selama proses kriopreservasi terjadi perubahan intraseluler akibat pengeluaran air berkaitan dengan pembentukan kristal es yang menyebabkan terjadinya penumpukan elektrolit di dalam sel sehingga terjadi kerusakan sel secara mekanik yang berpengaruh terhadap metabolisme spermatozoa. Elektrolit yang menumpuk akan merusak dinding sel spermatozoa, sehingga pada waktu thawing permeabilitas membran plasma utuh akan menurun dan spermatozoa mengalami kematian (Watson 2000). Selain itu, pada saat koleksi dan pengolahan spermatozoa sebelum dikemas di dalam straw, terjadi kontak antara spermatozoa dan udara luar yang mengandung oksigen. Hal ini mengakibatkan meningkatnya aktivitas metabolisme oksidatif yang juga berarti meningkatnya konsentrasi radikal bebas sebagai salah satu produk metabolisme. Radikal bebas sangat berbahaya bagi kelangsungan hidup spermatozoa, karena radikal bebas memiliki sifat yang sangat reaktif untuk memperoleh elektron melalui reaksi peroksidasi lipid. Radikal bebas mengambil elektron dari asam lemak tak jenuh fosfolipid membran plasma sel, dapat mengakibatkan reaksi rantai peroksidasi lipid yang berlangsung terus menerus (autokatalitik) hingga akhirnya merusak seluruh membran plasma sel spermatozoa (Holt 2000).
Hasil penelitian menunjukkan bahwa persentase motilitas, viabilitas dan integritas membran spermatozoa dengan pengencer Triladyl dan Tris pada setiap tahapan kriopreservasi tidak menunjukkan perbedaan yang nyata (P>0,05), kecuali pada persentase motilitas spermatozoa dengan pengencer Triladyl dan Tris setelah thawing (52,00% vs 47,50%), dimana persentase motilitas spermatozoa dengan pengencer Triladyl lebih tinggi dibandingkan Tris (P<0,05).
Dalam penelitian ini, pengencer Triladyl lebih efektif dalam mempertahankan persentase motilitas spermatozoa setelah pembekuan dibandingkan dengan pengencer Tris. Sehubungan hal tersebut, proses kriopreservasi mungkin tidak hanya dipengaruhi oleh komponen dalam bahan pengencer seperti sistem penyangga dan tekanan osmotik, tetapi juga oleh interaksi antara berbagai komponen dalam bahan pengencer (Garde et al. 2003). Kandungan fruktosa dalam bahan pengencer Triladyl di duga berperan dalam mempertahankan motilitas spermatozoa selama proses pembekuan dibandingkan kandungan laktosa dalam bahan pengencer Tris. Spermatozoa membutuhkan substrat eksogen untuk berbagai fungsi yang berperan sebagai cadangan energi intraseluler, komponen sel dan mendukung motilitas (Yildiz et al. 2000). Fruktosa berperan sebagai sumber energi utama pada saat ejakulasi dan terkandung dalam plasma semen disamping glukosa pada hewan mamalia (Ponglowhapan et al. 2004). Penggunaan fruktosa dalam komposisi bahan pengencer dapat menggantikan peran glukosa dan meningkatkan jumlah sperma aktif, berbeda halnya dengan laktosa yang dapat memberikan efek negatif terhadap motilitas spermatozoa selama proses pembekuan dan thawing (Garde et al. 2008; Yildiz et al. 2000; Fernandez-Santos et al. 2007).

Konsentrasi kuning telur yang lebih rendah pada pengencer Triladyl dibandingkan Tris diduga berperan juga dalam mempertahankan motilitas spermatozoa selama proses pembekuan. Garde et al. (2008) melaporkan bahwa konsentrasi kuning telur 20% dalam pengencer Tes-Tris akan memberikan dampak negatif terhadap motilitas dan integritas akrosom selama proses kriopreservasi daripada konsentrasi kuning telur sebesar 5%. Khusus pada semen kambing, adanya enzim fosfolipase A pada plasma semen yang disekresikan oleh kelenjar bulbo-urethralis akan mudah merusak medium pengencer semen terutama yang mengandung kuning telur, sehingga menyebabkan spermatozoa banyak yang mati. Tingginya konsentrasi lisolesitin yang berasal dari hidrolisis lesitin kuning telur melalui gertakan enzim fosfolipase A di dalam lingkungan spermatozoa menyebabkan timbulnya efek toksik pada spermatozoa kambing. Menurut Leboeuf et al. (2000) kelenjar bulbouretralis (kelenjar Cowper) kambing jantan mensintesis suatu enzim dan disekresikan di dalam plasma semen, yang jika berinteraksi dengan kuning telur akan terjadi koagulasi. Enzim tersebut diidentifikasi sebagai fosfolipase A yang dapat menghidrolisis lesitin kuning telur menjadi asam lemak dan lisolesitin yang bersifat toksik terhadap spermatozoa.
Kemampuan fertilisasi spermatozoa kambing Boer setelah pembekuan
Dari 20 ekor kambing betina yang telah di sinkronisasi berahi, dilakukan pengecekan berahi dan sebanyak 18 ekor (90%) menunjukkan tanda-tanda berahi 24 jam setelah pencabutan CIDR. Hasil tingkat fertilisasi yang diperoleh setelah IB secara cervical menggunakan spermatozoa kambing Boer yang dibekukan dengan pengencer yang berbeda (Tabel 2).
Persentase tingkat fertilisasi secara keseluruhan setelah inseminasi secara cervical sebesar 61,11%. Penggunaan pengencer Tris menghasilkan tingkat fertilisasi yang sama dengan Triladyl (P>0,05), menunjukkan bahwa Tris dan Triladyl dapat digunakan sebagai pengencer dalam proses kriopreservasi semen kambing dan inseminasi secara cervical karena kedua pengencer tersebut mampu mempertahankan daya hidup dan kemampuan fertilisasi spermatozoa. Persentase tingkat kelahiran secara keseluruhan setelah inseminasi secara cervical sebesar 33,33%. Penggunaan kedua pengencer pada proses kriopreservasi tidak mempengaruhi tingkat kelahiran, meskipun nilai yang ditunjukkan pada pengencer Tris lebih tinggi dibandingkan Triladyl (37,5% vs 30,00%, P>0,05).
Tingkat fertilisasi setelah inseminasi secara cervical (61,11%) hampir sama dengan yang diperoleh pada kambing jenis lain yaitu 57-61% pada kambing Saanen dan Alpine (Leboeuf et al. 2000). Hasil penelitian lain memperoleh tingkat fertilisasi yang lebih rendah: 47,62% pada kambing Florida (Dorado et al. 2007) dan 57% pada kambing Murciano-Granadina (Salvador et al. 2005).
Tingginya tingkat fertilisasi yang diperoleh diduga karena kualitas spermatozoa yang dikriopreservasi dengan pengencer Triladyl dan Tris setelah thawing masih menunjukkan persentase yang cukup tinggi, misalnya persentase motilitas spermatozoa dengan pengencer Triladyl dan Tris setelah thawing (52,00% vs 47,50%).
Anel et al. (2005) melaporkan bahwa proses preservasi dan kualitas spermatozoa selama proses kriopreservasi sangat berperan dalam meningkatkan angka fertilisasi. Begitu pula Riha et al. (2006) melaporkan bahwa komposisi bahan pengencer baik krioprotektan, gula, buffer dan bahan aditif lainnya akan berinteraksi selama proses kriopreservasi dengan cara yang spesifik untuk melindungi spermatozoa, menyediakan substrat energi, mencegah efek negatif dari perubahan pH dan osmolalitas, serta mempertahankan kemampuan fertilisasi spermatozoa.
Tabel 2. Tingkat fertilisasi setelah IB secara Cervical menggunakan spermatozoa kambing Boer yang dibekukan dengan pengencer Triladyl dan Tris
Pengencer |
Kambing yang di- |
Tingkat fertilisasi % (ekor) |
Tingkat kelahiran % (ekor) |
|
Sinkronisasi (ekor) |
Inseminasi (ekor) |
|||
Triladyl |
10 |
10 |
60,00 (6/10) |
30,00 (3/10) |
Tris |
10 |
8 |
62,50 (5/8) |
37,50 (3/8) |
Total |
20 |
18 |
61,11 (11/18) |
33,33 (6/18) |
KESIMPULAN
Berdasarkan hasil penelitian ini dapat disimpulkan bahwa pengencer Tris memiliki kemampuan yang sama dengan Triladyl dalam mempertahankan kualitas spermatozoa (motilitas, viabilitas dan integritas membran) selama proses kriopreservasi. Penggunaan pengencer Tris memiliki kemampuan yang sama dengan Triladyl dalam inseminasi buatan secara cervical, meskipun persentase tingkat kelahiran yang ditunjukkan pada pengencer Tris lebih tinggi dibandingkan Triladyl.
DAFTAR PUSTAKA
Aboagla EM, Terada T. 2004. Effects of egg yolk during the freezing step of cryopreservation on the viability of goat spermatozoa. Theriogenology. 62:1160-1172.
Amirat L, Tainturier D, Jeanneau L, Thorin C, Gerard O, Courtens JL, M. 2004. Bull semen in vitro fertility after cryopreservation using egg yolk LDL: a comparison with optidyl, a commercial egg yolk extender. Theriogenology. 61:895-907.
Anel L, Kaabi M, Abroug B, Alvarez M, Anel E, Boixo JC, de la Fuente LF, de Paz P. 2005. Factors influencing the success of vaginal and laparoscopic artificial insemination in churra ewes: a field assay. Theriogenology. 63:1235-1247.
Barth AD, Oko RJ. 1989. Abnormal Morphology of Bovine Spermatozoa. Ames: Iowa State University press.
p. 136-143.
Dorado J, Rodrıguez I, Hidalgo M. 2007. Cryopreservation of goat spermatozoa: Comparison of two freezing extenders based on post-thaw sperm quality and fertility rates after artificial insemination. Theriogenology. 68:168-177.
Drouineaud, V, Sagot P, Faivre L, Michel F, Jimenez C. 2003. Birth after intracytoplasmic injection of epididymal sperm from a man with congenital bilateral absence of the vas deferens who had a robertsonian translocation. Fertil Steril. 79:1649-1651.
Fernandez-Santos, M.R., Martínez-Pastor F, García-Macías V, Esteso MC, Soler AJ, de Paz P. 2007. Extender osmolality and sugar supplementation exert a complex effect on the cryopreservation of Iberian red deer (Cervus elaphus hispanicus) epididymal spermatozoa. Theriogenology. 67:738-753.
Fonseca, JF, Torres CAA, Maffili VV, Borges AM, Santos ADF, Rodrigues MT, Oliveira RFM. 2005. The hypoosmotic swelling test in fresh goat spermatozoa. Anim Reprod. 2:139-144.
Garde JJ, Soler AJ, Cassinello J, Crespo C, Malo AF, Espeso G. 2003. Sperm cryopreservation in three species of endangered gazelles (Gazella cuvieri, G. dama mhorr, and G. dorcas neglecta). Biol Reprod. 69:602-611.
Garde JJ, del Olmo A, Soler AJ, Espeso G, Gomendio M, Roldan ERS. 2008. Effect of egg yolk, cryoprotectant, and various sugars on semen cryopreservation in endangered Cuvier’s gazelle (Gazella cuvieri). Anim Reprod Sci. 108:384-401.
Holt WV. 2000. Basic aspects of frozen storage of semen. Anim Reprod Sci. 62:3-22.
Hori T, Hagiuda K, Kawakami E, Tsutsui T. 2005. Unilateral intrauterine insemination with prostatic fluid-sensitized frozen caudal epididymal sperm in beagle dogs. Theriogenology. 63:1573-1583.
Kaabi M, Paz P, Alvarez M, Anel E, Boixo JC, Rouissi H, Herraez P, Anel L. 2003. Effect of epididymis handling conditions on the quality of ram spermatozoa recovered postmortem. Theriogenology. 60:1249-1259.
Kostaman T, Sutama IK, Situmorang P, Budiarsana IGM. 2000. Pengaruh jenis pengencer dan waktu ekuilibrasi terhadap kualitas semen beku kambing peranakan etawah. Haryanto B, Darminto, Hastiono S, Sutama IK, Partoutomo S, Subandriyo, Sinurat AP, Darmono, Supar, Butar SOB, penyunting. Prosiding Seminar Nasional Peternakan dan Veteriner. Bogor [Indones]. hlm.
156-163.
Leboeuf B, Restall B, Salamon S. 2000. Production and storage of goat semen for artificial insemination. Anim Reprod Sci. 62:113-141.
Malan SW. 2000. The improved boer goat. Small Rumin Res. 3:165-170.
Marti JI, Marti E, Perez CJE, Muino, Blanco T. 2003. Survival rate of antioxidant enzyme activity of ram spermatozoa after dilution with different extenders or selection by a dextran swim-up procedure. Theriogenology. 60:1013-1020.
Martins CF, Rumpf R, Pereira DC, Dode MN. 2007. Cryopreservation of epididymal bovine spermatozoa from dead animals and its uses in vitroembryo production. Anim Reprod Sci. 101:326-331.
McPeake SR, Pennington JA. 2009. Breeding soundness evaluation for beef and dairy bulls. [diakses pada 24 November 2011]. http://www.uaex.edu/other_areas/
publications/pdf/fsa-3046.pdf.
Pezzanite L, Bridges A, Neary M, Hutchens T. 2012. Breeding soundness examinations of rams and bucks. [diakses pada 27 Januari 2012]. http://www.extension.
purdue.edu/extmedia/AS/AS-599-W.pdf.
Ponglowhapan S, Gustavsson BE, Forsberg CL. 2004. Influence of glucose and fructose in the extender during long-term storage of chilled canine semen. Theriogenology. 62:1498-1517.
Rasul Z, Ahmad N, Anzar M. 2001. Changes in motion characteristics, plasma membrane integrity and acrosome morphology during cryopreservation of buffalo spermatozoa. J Androl. 22:278-283.
Revell SG, Mrode RA. 1994. An osmotic resistance test for bovine semen. Anim Reprod Sci. 36:77-86.
Riha L, Apolen D, Pivko J, Grafenau P, Kubovicova E. 2006. Influence of implememtors on sheep fertility out of season. Slovak J Anim Sci. 4:180-182.
Rizal, M, Herdis, Boediono A. 2004. Daya hidup sperma epididimis domba setelah disimpan pada suhu rendah (5oC). J Anim Prod. 6:30-36.
Roca J, Martinez S, Vazquez JM, Lucas X, Parrilla I, Martinez EA. 2000. Viability and fertility of rabbit spermatozoa diluted in Tris-Buffer extenders and stored at 15°C. Anim Reprod Sci. 64:103-112.
Salomon S, Maxwell WMC. 2000. Storage of ram semen. Anim Reprod Sci. 62:77-111.
Salvador I, Viudes-de-Castro MP, Bernacer J, Gomez EA, Silvester MA. 2005. Factors affecting pregnancy rate in artificial insemination with frozen semen during non-breeding season in Murciano-Granadina goats: a field assay. Reprod Dom Anim. 40:526-529.
Sarlos P, Molnar A, Kokai A, Gabor G, Ratky J. 2002. Evaluation of the effect of antioxidants in the conservation of ram semen. Acta Vet Hung.
50:235-245.
Steel RGD, Torrie JH, Dickey DA. 1997. Principles and Procedures of Statistics: A Biometrical Approach. 3rd Edition. New York (US): McGraw-Hill Companies Inc.
Surachman M, Herdis, Setiadi MA, Rizal M. 2006. Kriopreservasi spermatozoa epididimis domba menggunakan pengencer berbasis lesitin. J Indon Trop Anim Agric. 31:83-89.
Tambing SN, Toelihere MR, Yusuf TL Sutama IK. 2000. Pengaruh gliserol dalam pengencer Tris terhadap kualitas semen beku kambing Peranakan Etawah. JITV. 5:1-8.
Tsutsui T, Tezuka T, Mikasa Y, Sugisawa H, Kirihara N, Hori T, Kawakami E. 2003. Artificial insemination with canine semen stored at a low temperature. J Vet Med Sci. 65:307-312.
Van Wagtendonk-de Leeuw AM, Haring RM, Kaal-Lansbergen LMTE, den Daas JHG. 2000. Fertility Results Using Bovine Cryopreserved with Extenders Based on Egg Yolk and Soy Bean Extract. Therigenology. 54:57-67.
Watson PF. 2000. The causes of reduced fertility with cryopreserved semen. Anim Reprod Sci. 60-61:481-492.
Yeung CH, Barfield JP, Cooper TG. 2006. Physiological volume regulation by spermatozoa. Mol Cell Endocrinol. 250:98-105.
Yildiz C, Kaya A, Aksoy M, Tekeli T. 2000. Influence of the sugar supplementation of extender on motility, viability and acrosomal integrity of dog spermatozoa during freezing. Theriogenology. 54:579-585.
Yoshida M. 2000. Conservation of sperms: current status and new trends. Anim Reprod Sci. 60-61:349-355.
Yulnawati, Setiadi MA. 2005. Motilitas dan keutuhan membran plasma spermatozoa epididymis kucing selama penyimpanan pada suhu 4°C. Med Vet J. 21:100-104.
Tweet
Refbacks
- There are currently no refbacks.

This work is licensed under a Creative Commons Attribution 4.0 International License.






























